题目内容

在△ABC中,内角A,B,C对边的边长分别是a,b,c,已知c=2,
(1)若△ABC的面积等于,求a,b;
(2)若sinB=2sinA,求△ABC的面积.
【答案】分析:(1)由c及cosC的值,利用余弦定理列出关于a与b的关系式a2+b2-ab=4,再由已知三角形的面积及sinC的值,利用三角形的面积公式得出ab的值,与a2+b2-ab=4联立组成方程组,求出方程组的解即可求出a与b的值;
(2)利用正弦定理化简sinB=2sinA,得到b=2a,与(1)得出的a2+b2-ab=4联立组成方程组,求出方程组的解得到a与b的值,再由sinC的值,利用三角形的面积公式即可求出三角形ABC的面积.
解答:解:(1)∵c=2,cosC=
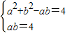
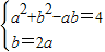
∴由余弦定理c2=a2+b2-2abcosC得:a2+b2-ab=4,
又△ABC的面积等于,sinC=

整理得:ab=4,(4分)
联立方程组
解得a=2,b=2;(6分)
(2)由正弦定理,把sinB=2sinA化为b=2a,(8分)
联立方程组
解得:
又sinC=
则△ABC的面积.(10分)
点评:此题属于解三角形的题型,涉及的知识有:正弦、余弦定理,三角形的面积公式,以及特殊角的三角函数值,熟练掌握定理及公式是解本题的关键.
练习册系列答案
相关题目

违法和不良信息举报电话:027-86699610 举报邮箱:58377363@163.com

精英家教网