题目内容
已知函数f(x)=sin2x-
cos2x+a。
(1)求f(x)的最小正周期和单调增区间;
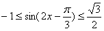
(2)当
时,函数f(x)的最大值与最小值的和2+
,求a。
(1)求f(x)的最小正周期和单调增区间;
(2)当
解:
,
(1)
,
由
,
得
,
∴单调增区间为
,k∈Z。
(2)当
时,
,
,
∴
,
,
∴
,即a=2。
(1)
由
得
∴单调增区间为
(2)当
∴
∴
练习册系列答案
相关题目
题目内容