题目内容
△ABC的角A、B、C所对的边分别记作a、b、c,已知a、b、c成等差数列,且a=4,cosC=(Ⅰ)求b、c的值;
(Ⅱ)求证:C=2A.
【答案】分析:(Ⅰ)由a、b、c成等差数列,设公差为d,则b=4+d,c=4+2d.在△ADC中,由余弦定理可得d2+3d-4=0,d=1或d=-4.经检验d=1,此时,b=5,c=6.
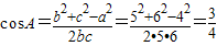
(Ⅱ)利用余弦定理求得cosA的值,再根据
=cosC,且A、C是三角形的内角,可得C=2A.
解答:(Ⅰ)解:∵a、b、c成等差数列,设公差为d,则b=4+d,c=4+2d.
在△ADC中,由余弦定理,得c2=a2+b2-2abcosC,∴
.
化简,得d2+3d-4=0,d=1或d=-4.
当d=-4时,b=4+d=0,不合题意,舍去;
∴d=1,此时,b=5,c=6.
(Ⅱ)证明:∵
,
又
=cosC,
∴cosC=cos2A,∵A、C是三角形的内角,∴C=2A.
点评:本题主要考查等差数列的定义、通项公式的应用、余弦定理、二倍角公式的应用,属于中档题.
(Ⅱ)利用余弦定理求得cosA的值,再根据
解答:(Ⅰ)解:∵a、b、c成等差数列,设公差为d,则b=4+d,c=4+2d.
在△ADC中,由余弦定理,得c2=a2+b2-2abcosC,∴
化简,得d2+3d-4=0,d=1或d=-4.
当d=-4时,b=4+d=0,不合题意,舍去;
∴d=1,此时,b=5,c=6.
(Ⅱ)证明:∵
又
∴cosC=cos2A,∵A、C是三角形的内角,∴C=2A.
点评:本题主要考查等差数列的定义、通项公式的应用、余弦定理、二倍角公式的应用,属于中档题.
练习册系列答案
相关题目
若△ABC的角A,B,C对边分别为a、b、c,且a=1,∠B=45°,S△ABC=2,则b=( )
| A、5 | ||
| B、25 | ||
C、
| ||
D、5
|
△ABC的角A,B,C的对边分别为a,b,c,已知b=4,B=
,C=
,则c的长度是( )
| π |
| 3 |
| π |
| 4 |
A、
| ||||
B、2
| ||||
C、
| ||||
D、2
|