题目内容

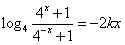
已知函数f(x)=log4(4x+1)+kx(k∈R)是偶函数。
(1) 求k的值;
(2) 设,若函数f(x)与g(x)的图象有且只有一个公共点,求实数a的取值范围。

解:(1)由函数f(x)是偶函数,可知f(x)=f(-x),


即x=-2kx对一切x∈R恒成立,∴k=
(2)∵函数f(x)与g(x)的图象有且只有一个公共点,
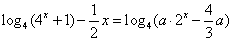
即方程有且只有一个实根,
化简,得方程有且只有一个实根,
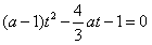
令t=2x>0,则方程有且只有一个正根,
①a=1t=,不合题意;
②△=0a=或-3,
若a=,则t=,不合题意;
若a=3,则t=
③一个正根与一个负根,即
综上所述,实数a的取值范围是

练习册系列答案
相关题目

违法和不良信息举报电话:027-86699610 举报邮箱:58377363@163.com

精英家教网