搜索
题目内容
双曲线
的渐近线方程为
.
试题答案
相关练习册答案
【答案】
分析:
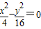
本题比较简单,把双曲线中的1换成0再进行整理即可.
解答:
解:双曲线
的渐近线方程为
,
整理,得y=±2,
故双曲线
的渐近线方程为y=±2.
点评:
本题较容易,解题时注意别和椭圆弄混了.
练习册系列答案
导学导思导练寒假评测新疆科学技术出版社系列答案
综合寒假作业本浙江教育出版社系列答案
本土寒假云南人民出版社系列答案
寒假作业南方日报出版社系列答案
1加1阅读好卷系列答案
专项复习训练系列答案
初中语文教与学阅读系列答案
阅读快车系列答案
完形填空与阅读理解周秘计划系列答案
英语阅读理解150篇系列答案
相关题目
已知抛物线y
2
=2px(p>0)焦点F恰好是双曲线
x
2
a
2
-
y
2
b
2
=1
的右焦点,且双曲线过点(
3
a
2
p
,
2
b
2
p
),则该双曲线的渐近线方程为
已知双曲线的渐近线方程为2x±3y=0.若双曲线的焦距是
2
3
,求双曲线的标准方程.
(2012•许昌三模)焦点在x轴,中心在原点的双曲线的渐近线方程为x±2y=0,则双曲线的离心率为( )
A.
5
4
B.5
C.
5
2
D.
5
双曲线x
2
+my
2
=1的虚轴长是实轴长的2倍,则双曲线的渐近线方程为( )
A、y=±2x
B、
y=±
1
2
x
C、
y=±
2
x
D、
y=±
2
2
x
【文科】若双曲线的渐近线方程为y=±3x,一个焦点是
(0,
10
)
,则双曲线的方程是
.
关 闭
试题分类
高中
数学
英语
物理
化学
生物
地理
初中
数学
英语
物理
化学
生物
地理
小学
数学
英语
其他
阅读理解答案
已回答习题
未回答习题
题目汇总
试卷汇总
练习册解析答案