题目内容
(本小题满分12分)
设数列
满足
。
(Ⅰ)求数列
的通项公式;
(Ⅱ)令
,求数列
的前
项和![]()
解:
(Ⅰ)由已知,当n≥1时,![]()
![]()
。
而 ![]()
所以数列{
}的通项公式为
。
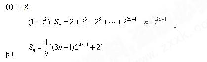
(Ⅱ)由
知
①
从而
②![]()
解析
练习册系列答案
相关题目
题目内容
(本小题满分12分)
设数列
满足
。
(Ⅰ)求数列
的通项公式;
(Ⅱ)令
,求数列
的前
项和![]()
解:
(Ⅰ)由已知,当n≥1时,![]()
![]()
。
而 ![]()
所以数列{
}的通项公式为
。
(Ⅱ)由
知
①
从而
②![]()
解析