题目内容
已知a、b、c分别是△ABC的三个内角A、B、C所对的边;(1)若△ABC面积
(2)若a=ccosB且b=csinA,试判断△ABC的形状.
【答案】分析:(1)由A的度数求出sinA和cosA的值,再由c及三角形的面积,利用三角形的面积公式求出b的值,然后由b,c及cosA的值,利用余弦定理即可求出a的值;
(2)由三角形的三边a,b及c,利用余弦定理表示出cosB,代入已知的a=ccosB,化简可得出a2+b2=c2,利用勾股定理的逆定理即可判断出三角形为直角三角形,在直角三角形ABC中,利用锐角三角函数定义表示出sinA,代入b=csinA,化简可得b=a,从而得到三角形ABC为等腰直角三角形.
解答:解:(1)∵
,
∴
,得b=1,
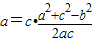
由余弦定理得:a2=b2+c2-2bccosA=12+22-2×1×2•cos60°=3,
所以
.
(2)由余弦定理得:
,∴a2+b2=c2,
所以∠C=90°;
在Rt△ABC中,
,所以
,
所以△ABC是等腰直角三角形.
点评:此题考查了三角形的面积公式,余弦定理,正弦定理,以及特殊角的三角函数值,考查了勾股定理的逆定理,锐角三角函数的定义,熟练掌握定理及公式是解本题的关键.
(2)由三角形的三边a,b及c,利用余弦定理表示出cosB,代入已知的a=ccosB,化简可得出a2+b2=c2,利用勾股定理的逆定理即可判断出三角形为直角三角形,在直角三角形ABC中,利用锐角三角函数定义表示出sinA,代入b=csinA,化简可得b=a,从而得到三角形ABC为等腰直角三角形.
解答:解:(1)∵
∴
由余弦定理得:a2=b2+c2-2bccosA=12+22-2×1×2•cos60°=3,
所以
(2)由余弦定理得:
所以∠C=90°;
在Rt△ABC中,
所以△ABC是等腰直角三角形.
点评:此题考查了三角形的面积公式,余弦定理,正弦定理,以及特殊角的三角函数值,考查了勾股定理的逆定理,锐角三角函数的定义,熟练掌握定理及公式是解本题的关键.
练习册系列答案
相关题目