题目内容
已知
,其中
、
为常数,且
,若
为常数,则
的值为 .
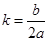
【答案】
![]()
【解析】
试题分析:
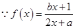
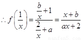
,
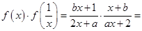
,则![]()
,则有
,即![]()
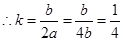
,则有
,且
,由
得到
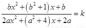
,所以有
,因式分解得![]()
,因为
,所以
,
.
考点:函数的概念
练习册系列答案
相关题目
题目内容
已知
,其中
、
为常数,且
,若
为常数,则
的值为 .
![]()
【解析】
试题分析:
,
,则![]()
,则有
,即![]()
,则有
,且
,由
得到
,所以有
,因式分解得![]()
,因为
,所以
,
.
考点:函数的概念