题目内容
已知等比数列{an}满足2a1+a3=3a2,且a3+2是a2,a4的等差中项.(Ⅰ)求数列{an}的通项公式;
(Ⅱ)若
【答案】分析:(Ⅰ)设等比数列{an}的首项为a1,公比为q,根据2a1+a3=3a2,且a3+2是a2,a4的等差中项,建立方程组,从而可求数列{an}的通项公式;
(Ⅱ)
=2n-n,求出Sn=b1+b2+…bn,再利用
,建立不等式,即可求得使
成立的正整数n的最小值.
解答:解:(Ⅰ)设等比数列{an}的首项为a1,公比为q,
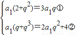
依题意,∵2a1+a3=3a2,且a3+2是a2,a4的等差中项
∴
由 ①得 q2-3q+2=0,解得q=1或q=2.
当q=1时,不合题意舍;
当q=2时,代入(2)得a1=2,所以an=2n.….…(6分)
(Ⅱ)
=2n-n.….…(7分)
所以Sn=b1+b2+…bn=(2+22++2n)-(1+2+…+n)=2n+1-2-
-
n2 ….…(10分)
因为
,所以2n+1-2-
-
n2-2n+1+47<0,
即n2+n-90>0,解得n>9或n<-10.….…(12分)
故使
成立的正整数n的最小值为10.….(13分)
点评:本题考查等比数列的通项,考查数列的通项与求和,考查解不等式,解题的关键是确定数列的通项与和,属于中档题.
(Ⅱ)
解答:解:(Ⅰ)设等比数列{an}的首项为a1,公比为q,
依题意,∵2a1+a3=3a2,且a3+2是a2,a4的等差中项
∴
由 ①得 q2-3q+2=0,解得q=1或q=2.
当q=1时,不合题意舍;
当q=2时,代入(2)得a1=2,所以an=2n.….…(6分)
(Ⅱ)
所以Sn=b1+b2+…bn=(2+22++2n)-(1+2+…+n)=2n+1-2-
因为
即n2+n-90>0,解得n>9或n<-10.….…(12分)
故使
点评:本题考查等比数列的通项,考查数列的通项与求和,考查解不等式,解题的关键是确定数列的通项与和,属于中档题.
练习册系列答案
相关题目