题目内容
已知{an}是公差不为零的等差数列,a3=5,且a1,a2,a5成等比数列。
(1)求数列{an}的通项公式;
(2)若bn=
,求数列{bn}的前项和。
(1)求数列{an}的通项公式;
(2)若bn=
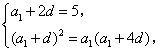
解:(1)设数列{an}的公差为d,
由题意知
解得
故
;
(2)由(1)得
,
数列{bn}是首项为4,公比为4的等比数列
设数列
的前n项和为Sn
则
。
由题意知
解得
故
(2)由(1)得
数列{bn}是首项为4,公比为4的等比数列
设数列
则
练习册系列答案
相关题目