题目内容
已知
【答案】分析:由对数的运算性质,lg2x+lg8y=lg2x+lg23y=(x+3y)lg2,结合题意可得,x+3y=1;再利用1的代换结合基本不等式求解即可.
解答:解:lg2x+lg8y=lg2x+lg23y=(x+3y)lg2,
又由lg2x+lg8y=lg2,
则x+3y=1,
进而由基本不等式的性质可得,
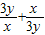
=(x+3y)(
)=2+
≥2+2=4,
当且仅当x=3y时取等号,
故答案为:4.
点评:本题考查基本不等式的性质与对数的运算,注意基本不等式常见的变形形式与运用,如本题中,1的代换.
解答:解:lg2x+lg8y=lg2x+lg23y=(x+3y)lg2,
又由lg2x+lg8y=lg2,
则x+3y=1,
进而由基本不等式的性质可得,
当且仅当x=3y时取等号,
故答案为:4.
点评:本题考查基本不等式的性质与对数的运算,注意基本不等式常见的变形形式与运用,如本题中,1的代换.
练习册系列答案
相关题目
的图象向右平移2个单位,得到