题目内容
一个几何体的三视图如图所示,则这个几何体的体积为( )
![]()
A.
B.
C.
D.
![]()
【答案】
B
【解析】
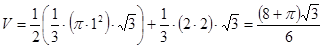
试题分析:通过分析三视图可知该几何体为圆锥的一半和四棱锥的组合体,于是
.
考点:1.三视图;2.体积计算.
练习册系列答案
相关题目