题目内容
在平面直角坐标系xOy中,Pn(n,n2)(n∈N+)是抛物线y=x2上的点,△OPnPn+1的面积为Sn.
(1)求Sn;
(2)化简
;
(3)试证明
.
(1)求Sn;
(2)化简
(3)试证明
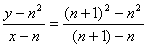
解:(1)依题意,
,
直线
的方程为
,
即
,

,
点O到直线
的距离
,
所以,
。
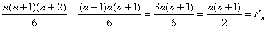
(2)
,
。
(3)因为
,
从而
,……,
,
,
以上各式累加得
.
直线
即
点O到直线
所以,
(2)
(3)因为
从而
以上各式累加得
练习册系列答案
相关题目
在平面直角坐标系xOy中,双曲线中心在原点,焦点在y轴上,一条渐近线方程为x-2y=0,则它的离心率为( )
A、
| ||||
B、
| ||||
C、
| ||||
| D、2 |