题目内容
已知函数
,
。
(1)设函数F(x)=f(x)-h(x),求F(x)的单调区间与极值;
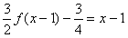
(2)设a∈R,解关于x的方程
;
(3)试比较f(100)h(100)-
与
的大小。
(1)设函数F(x)=f(x)-h(x),求F(x)的单调区间与极值;
(2)设a∈R,解关于x的方程
(3)试比较f(100)h(100)-
解:(1)




所以
是其极小值点,极小值为
;x=0是其极大值点,极大值为
;
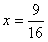
(2)

由

时方程无解
时x=3
方程的根为
;
(3)设数列{an}的前n项和为Sn,且Sn=f(n)g(n)-
从而有a1=S1=1
当2<k≤100时,ak=Sk-Sk-1=
>0
即对任意的2<k≤100,都有
又因为a1=S1=1
所以
故
。
所以
(2)
由
(3)设数列{an}的前n项和为Sn,且Sn=f(n)g(n)-
从而有a1=S1=1
当2<k≤100时,ak=Sk-Sk-1=
即对任意的2<k≤100,都有
又因为a1=S1=1
所以
故
练习册系列答案
相关题目
已知函数f(x)=-
,设an=
,若-1≤x1<0<x2<x3,则( )
| x+1 |
| f(xn)-2 |
| xn |
| A、a2<a3<a1 |
| B、a1<a2<a3 |
| C、a1<a3<a2 |
| D、a3<a2<a1 |