题目内容
函数y=cos2x的图象可以看作由y=A.向左平移
B.向右平移
C.向左平移
D.向右平移
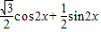
【答案】分析:利用诱导公式化简函数 y=
cos2x+sinxcosx的解析式为cos(2x-
),再根据y=Asin(ωx+∅)的图象变换规律得出结论.
解答:解:由于函数 y=
cos2x+sinxcosx=
=cos(2x-
),
把它的图象向左平移
个单位,可得y=cos[2(x+
)-
]=cos2x的图象,
故选A.
点评:本题主要考查函数y=Asin(ωx+∅)的图象变换规律,诱导公式的应用,属于中档题.
解答:解:由于函数 y=
把它的图象向左平移
故选A.
点评:本题主要考查函数y=Asin(ωx+∅)的图象变换规律,诱导公式的应用,属于中档题.
练习册系列答案
相关题目
函数y=cos2x的图象可由y=sin2x的图象( )
A、向右平移
| ||
B、向左平移
| ||
C、向右平移
| ||
D、向左平移
|