题目内容
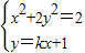
已知椭圆C:(Ⅰ)求椭圆C的方程;
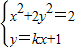
(Ⅱ)设O为坐标原点,椭圆C与直线y=kx+1相交于两个不同的点A,B,线段AB的中点为P,若直线OP的斜率为-1,求△OAB的面积.
【答案】分析:(I)先根据题意得关于a,b,c的方程,进而结合椭圆中a,b,c的关系求得a,b,则椭圆方程可得.
(II)设A(0,1),B(x1,y1),P(x,y),联立
,将直线的方程代入椭圆的方程,消去y得到关于x的一元二次方程,再结合求根公式,利用弦长公式即可求得k值,从而解决问题.
解答:解:(Ⅰ)由题意得
,(2分)
又a2-b2=1,所以b2=1,a2=2.(3分)
所以椭圆的方程为
.(4分)
(Ⅱ)设A(0,1),B(x1,y1),P(x,y),
联立
消去y得(1+2k2)x2+4kx=0(*),(6分)
解得x=0或
,所以
,
所以
,
,(8分)
因为直线OP的斜率为-1,所以
,
解得
(满足(*)式判别式大于零).(10分)
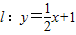
O到直线
的距离为
,(11分)
=
,(12分)
所以△OAB的面积为
.(13分)
点评:本题主要考查了直线与圆锥曲线的综合问题.直线与圆锥曲线的综合问题是支撑圆锥曲线知识体系的重点内容,问题的解决具有入口宽、方法灵活多样等,而不同的解题途径其运算量繁简差别很大.
(II)设A(0,1),B(x1,y1),P(x,y),联立
解答:解:(Ⅰ)由题意得
又a2-b2=1,所以b2=1,a2=2.(3分)
所以椭圆的方程为
(Ⅱ)设A(0,1),B(x1,y1),P(x,y),
联立
解得x=0或
所以
因为直线OP的斜率为-1,所以
解得
O到直线
所以△OAB的面积为
点评:本题主要考查了直线与圆锥曲线的综合问题.直线与圆锥曲线的综合问题是支撑圆锥曲线知识体系的重点内容,问题的解决具有入口宽、方法灵活多样等,而不同的解题途径其运算量繁简差别很大.
练习册系列答案
相关题目