题目内容
数列A.
B.
C.
D.
【答案】分析:将数列的每一项分为两项(2n-1)与
,分别用等差数列与等比数列的前n项和公式来求即可.
解答:解:由于Sn=
+
+
+
+…+[(2n-1)+
]
=[1+3+5+7+…+(2n-1)]+(
)
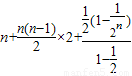
=
=
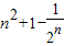
则
故答案为 A.
点评:本小题主要考查等差数列与等比数列的基础知识和基本技能,运算能力,是高考考查的重点.
解答:解:由于Sn=
=[1+3+5+7+…+(2n-1)]+(
=
=
则
故答案为 A.
点评:本小题主要考查等差数列与等比数列的基础知识和基本技能,运算能力,是高考考查的重点.
练习册系列答案
相关题目