题目内容
已知函数f(x)=x2e-ax(a>0),求函数在[1,2]上的最大值。
解:∵f(x)=x2e-ax(a>0),
∴f′(x)=2xe-ax+x2(-a)e-ax=e-ax(-ax2+2x),
令f′(x)>0,即e-ax(-ax2+2x)>0,得
∴f(x)在(-∞,0),
上是减函数,在
上是增函数,
当
,即a>2时,f(x)在(1,2)上是减函数,
∴f(x)max=f(1)=e-a,
当
,即1≤a≤2时,f(x)在
上是增函数,在
上是减函数,
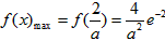
∴
当
,即0<a<1时,f(x)在(1,2)上是增函数,
∴f(x)max=f(2)=4e-2a,
综合所述,当0<a<1时,f(x)的最大值为4e-2a;
当1≤a≤2时。f(x)的最大值为
,
当a>2时,f(x)的最大值为e-a,
∴f′(x)=2xe-ax+x2(-a)e-ax=e-ax(-ax2+2x),
令f′(x)>0,即e-ax(-ax2+2x)>0,得
∴f(x)在(-∞,0),
当
∴f(x)max=f(1)=e-a,
当
∴
当
∴f(x)max=f(2)=4e-2a,
综合所述,当0<a<1时,f(x)的最大值为4e-2a;
当1≤a≤2时。f(x)的最大值为
当a>2时,f(x)的最大值为e-a,
练习册系列答案
相关题目
| π |
| 2 |
A、f(x)=2sin(πx+
| ||
B、f(x)=2sin(2πx+
| ||
C、f(x)=2sin(πx+
| ||
D、f(x)=2sin(2πx+
|