题目内容
已知椭圆(1)求椭圆C的方程;
(2)设直线l:y=kx+m与椭圆C交于M、N两点,直线F2M与F2N的倾斜角分别为α,β,且α+β=π,求证:直线l过定点,并求该定点的坐标.
【答案】分析:(1)根据椭圆的离心率求得a和c的关系,进而根据椭圆C的左、右焦点分别为F1(-c,0),F2(c,0)又点F2在线段PF1的中垂线上
推断|F1F2|=|PF2|,进而求得c,则a和b可得,进而求得椭圆的标准方程.
(2)设直线MN方程为y=kx+m,与椭圆方程联立消去y,设M(x1,y1),N(x2,y2),根据韦达定理可表示出x1+x2和x1x2,表示出直线F2M和F2N的斜率,由α+β=π可推断两直线斜率之和为0,把x1+x2和x1x2代入即可求得k和m的关系,代入直线方程进而可求得直线过定点.
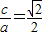
解答:解:(1)由椭圆C的离心率
得
,其中
,
椭圆C的左、右焦点分别为F1(-c,0),F2(c,0)又点F2在线段PF1的中垂线上
∴|F1F2|=|PF2|,∴
解得c=1,a2=2,b2=1,
∴
.
(2)由题意,知直线MN存在斜率,设其方程为y=kx+m.由
消去y,得(2k2+1)x2+4kmx+2m2-2=0.设M(x1,y1),N(x2,y2),
则△=(4km)2-4(2k2+1)(2m2-2)≥0
即2k2-m2+1≥0
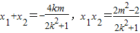
则
,且
由已知α+β=π,得
.
化简,得2kx1x2+(m-k)(x1+x2-2m)=0
∴
整理得m=-2k.
∴直线MN的方程为y=k(x-2),因此直线MN过定点,该定点的坐标为(2,0)
点评:本题主要考查了双曲线的标准方程.考查了学生对问题的综合分析和基本的运算能力.
推断|F1F2|=|PF2|,进而求得c,则a和b可得,进而求得椭圆的标准方程.
(2)设直线MN方程为y=kx+m,与椭圆方程联立消去y,设M(x1,y1),N(x2,y2),根据韦达定理可表示出x1+x2和x1x2,表示出直线F2M和F2N的斜率,由α+β=π可推断两直线斜率之和为0,把x1+x2和x1x2代入即可求得k和m的关系,代入直线方程进而可求得直线过定点.
解答:解:(1)由椭圆C的离心率
椭圆C的左、右焦点分别为F1(-c,0),F2(c,0)又点F2在线段PF1的中垂线上
∴|F1F2|=|PF2|,∴
∴
(2)由题意,知直线MN存在斜率,设其方程为y=kx+m.由
消去y,得(2k2+1)x2+4kmx+2m2-2=0.设M(x1,y1),N(x2,y2),
则△=(4km)2-4(2k2+1)(2m2-2)≥0
即2k2-m2+1≥0
则
由已知α+β=π,得
化简,得2kx1x2+(m-k)(x1+x2-2m)=0
∴
∴直线MN的方程为y=k(x-2),因此直线MN过定点,该定点的坐标为(2,0)
点评:本题主要考查了双曲线的标准方程.考查了学生对问题的综合分析和基本的运算能力.
练习册系列答案
相关题目