题目内容
已知幂函数y=f(x)的图象过点
【答案】分析:利用幂函数的定义即可求出.
解答:解:设幂函数f(x)=xα,
∵幂函数y=f(x)的图象过点
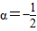
,∴
,解得
.
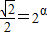
∴
.
故答案为
.
点评:熟练掌握幂函数的定义是解题的关键.
解答:解:设幂函数f(x)=xα,
∵幂函数y=f(x)的图象过点
∴
故答案为
点评:熟练掌握幂函数的定义是解题的关键.
练习册系列答案
相关题目
题目内容
已知幂函数y=f(x)的图象过点