题目内容

等比数列中,已知对任意正整数,,则等于(  )

A.             B.             C.               D.

 

【答案】

A

【解析】

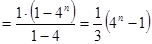
试题分析:根据等比数列满足可知其首项,公比,于是数列也是等比数列,其首项为1,公比为4,所以其前项和.

考点:等比数列.

 

练习册系列答案
相关题目

违法和不良信息举报电话:027-86699610 举报邮箱:58377363@163.com

精英家教网