题目内容
假设某市2004年新建住房面积400万平方米,其中有250万平方米是中低价房。预计在今后的若干年内,该市每年新建住房面积平均比上一年增长8%。另外,每年新建住房中,中低价房的面积均比上一年增加50万平方米,那么,到哪一年底,
(1)该市历年所建中低价房的累计面积(以2004年为累计的第一年)将首次不少于4750万平方米?
(2)当年建造的中低价房的面积占该年建造住房面积的比例首次大于85%?
(1)该市历年所建中低价房的累计面积(以2004年为累计的第一年)将首次不少于4750万平方米?
(2)当年建造的中低价房的面积占该年建造住房面积的比例首次大于85%?
解:(1)设中低价房面积形成数列{an},
由题意可知{an}是等差数列,其中a1=250,d=50,
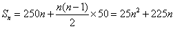
则
,
令
,即
,
而n是正整数,∴n≥10,
∴到2013年底,该市历年所建中低价房的累计面积将首次不少于4750万平方米;
(2)设新建住房面积形成数列{bn},
由题意可知{bn}是等比数列,其中b1=400,q=1.08,
则bn=400·(1.08)n-1,
由题意可知
,
有250+(n-1)50>400·(1.08)n-1·0.85,
由计算器解得满足上述不等式的最小正整数n=6,
∴到2009年底,当年建造的中低价房的面积占该年建造住房面积的比例首次大于85%。
由题意可知{an}是等差数列,其中a1=250,d=50,
则
令
而n是正整数,∴n≥10,
∴到2013年底,该市历年所建中低价房的累计面积将首次不少于4750万平方米;
(2)设新建住房面积形成数列{bn},
由题意可知{bn}是等比数列,其中b1=400,q=1.08,
则bn=400·(1.08)n-1,
由题意可知
有250+(n-1)50>400·(1.08)n-1·0.85,
由计算器解得满足上述不等式的最小正整数n=6,
∴到2009年底,当年建造的中低价房的面积占该年建造住房面积的比例首次大于85%。
练习册系列答案
相关题目