题目内容
已知数列{an}中,a1=1,a n+1 a n﹣1=ana n﹣1+an2(n∈N,n≥2),且
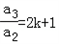
=kn+1.
(1)求证:k=1;
(2)求数列{an}的通项公式;
(3)求数列{
}的前n项和.
(1)求证:k=1;
(2)求数列{an}的通项公式;
(3)求数列{
证明:(1)∵
=kn+1,a1=1
故
又因为a1=1,a n+1 a n﹣1=ana n﹣1+an2(n≥2)则
,
即
∵
∴a2=2k
∴k+1=2k
∴k=1.
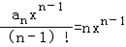
(2)∵
=n+1
∴an=
=n(n﹣1)(n﹣2)…2
1=n!
(3)因为
,设其前n项和为 Sn,
当x=1时,
,
当x≥1时,
…(1)
x
…(2)
由(1)﹣(2)得:
∴
综上所述:
故
又因为a1=1,a n+1 a n﹣1=ana n﹣1+an2(n≥2)则
即
∵
∴a2=2k
∴k+1=2k
∴k=1.
(2)∵
∴an=
(3)因为
当x=1时,
当x≥1时,
x
由(1)﹣(2)得:
∴
综上所述:
练习册系列答案
相关题目
已知数列{an}中,a1=1,2nan+1=(n+1)an,则数列{an}的通项公式为( )
A、
| ||
B、
| ||
C、
| ||
D、
|