题目内容
如图所示,F1、F2分别为椭圆C:(Ⅰ)求椭圆C的方程;
(Ⅱ)过椭圆C的焦点F2作AB的平行线交椭圆于P、Q两点,求△F1PQ的面积.
【答案】分析:(Ⅰ)由题设知:2a=4,即a=2,将点
代入椭圆方程得
,解得b2=3,由此能得到椭圆方程.
(Ⅱ)由
,知
,所以PQ所在直线方程为
,由
得
,设P (x1,y1),Q (x2,y2),由韦达定理能导出
,由此能求出△F1PQ的面积.
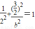
解答:解:(Ⅰ)由题设知:2a=4,即a=2
将点
代入椭圆方程得
,解得b2=3
∴c2=a2-b2=4-3=1,故椭圆方程为
--------------(3分)
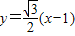
(Ⅱ)由(Ⅰ)知
,∴
,
∴PQ所在直线方程为
---------------(5分)
由
得
---------------------------------(7分)
设P (x1,y1),Q (x2,y2),则
--------(8分)
∴
--------------------------(9分)
∴
.-------------------------(10分)
点评:本题考查椭圆C的方程和求△F1PQ的面积.解题时要认真审题,注意挖掘题设中的隐含条件,合理地进行等价转化.
(Ⅱ)由
解答:解:(Ⅰ)由题设知:2a=4,即a=2
将点
∴c2=a2-b2=4-3=1,故椭圆方程为
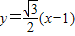
(Ⅱ)由(Ⅰ)知
∴PQ所在直线方程为
由
设P (x1,y1),Q (x2,y2),则
∴
∴
点评:本题考查椭圆C的方程和求△F1PQ的面积.解题时要认真审题,注意挖掘题设中的隐含条件,合理地进行等价转化.
练习册系列答案
相关题目