题目内容
已知椭圆(Ⅰ)求椭圆方程;
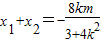
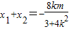
(Ⅱ)若直线l:y=kx+m(k≠0)与椭圆交于不同的两点M、N,且线段MN的垂直平分线过定点
【答案】分析:(Ⅰ)由题意知椭圆的离心率
,故椭圆方程为
,又点
在椭圆上,由此能导出椭圆的方程.
(Ⅱ)设M(x1,y1),N(x2,y2),由
,消去y并整理得(3+4k2)x2+8kmx+4m2-12=0,由直线y=kx+m与椭圆有两个交点,知m2<4k2+3.又
,知MN中点P的坐标为
,由此能求出k的范围.
解答:解:(Ⅰ)由题意椭圆的离心率∴
∴a=2c∴b2=a2-c2=3c2
∴椭圆方程为
又点
在椭圆上∴
∴c2=1
∴椭圆的方程为
…(4分)
(Ⅱ)设M(x1,y1),N(x2,y2)由
消去y并整理得(3+4k2)x2+8kmx+4m2-12=0…(6分)
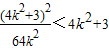
∵直线y=kx+m与椭圆有 两个交点△=(8km)2-4(3+4k2)(4m2-12)>0,即m2<4k2+3…(8分)
又
∴MN中点P的坐标为
…(9分)
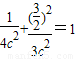
设MN的垂直平分线l'方程:
∵p在l'上∴
即4k2+8km+3=0
∴
…(11分)
将上式代入得
∴
即
或
,∴k的取值范围为
点评:本题考查椭圆方程和k的取值范围,解题时要认真审题,仔细解答,注意椭圆的灵活运用,合理地进行等价转化.
(Ⅱ)设M(x1,y1),N(x2,y2),由
解答:解:(Ⅰ)由题意椭圆的离心率∴
∴椭圆方程为
∴椭圆的方程为
(Ⅱ)设M(x1,y1),N(x2,y2)由
消去y并整理得(3+4k2)x2+8kmx+4m2-12=0…(6分)
∵直线y=kx+m与椭圆有 两个交点△=(8km)2-4(3+4k2)(4m2-12)>0,即m2<4k2+3…(8分)
又
设MN的垂直平分线l'方程:
∵p在l'上∴
∴
将上式代入得
∴
即
点评:本题考查椭圆方程和k的取值范围,解题时要认真审题,仔细解答,注意椭圆的灵活运用,合理地进行等价转化.
练习册系列答案
相关题目