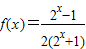
题目内容
已知函数(1)求a的值;
(2)求函数f(x)的值域.
【答案】分析:(1)由已知函数
为奇函数,则f(1)+f(-1)=0,由此构造关于a的方程,解方程可得答案.
(2)根据(1)可得函数的解析式,结合指数的性质,利用分析法可得函数f(x)的值域
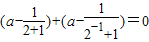
解答:解:(1)f(x)为奇函数,
∴f(1)+f(-1)=0,
得
,
∴
,…(3分)
此时,
,
即
,
即f(x)为奇函数.
∴
.…(6分)
(或f(x)+f(-x)=0,即
,∴
)
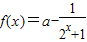
(2)由(1)知
,
∵2x+1>1,
∴
,
∴
,
所以
,
所以f(x)的值域为
.…(12分)
点评:本题考查的知识点是函数奇偶性的性质,函数的值域,其中求出函数的解析式是解答的关键.
(2)根据(1)可得函数的解析式,结合指数的性质,利用分析法可得函数f(x)的值域
解答:解:(1)f(x)为奇函数,
∴f(1)+f(-1)=0,
得
∴
此时,
即
即f(x)为奇函数.
∴
(或f(x)+f(-x)=0,即
(2)由(1)知
∵2x+1>1,
∴
∴
所以
所以f(x)的值域为
点评:本题考查的知识点是函数奇偶性的性质,函数的值域,其中求出函数的解析式是解答的关键.
练习册系列答案
相关题目