题目内容
已知函数A.(-∞,2)
B.
C.(-∞,2]
D.
【答案】分析:根据题意,分段函数f(x)是定义在R上的减函数.因为当x<2时,f(x)=(
)x-1是减函数,所以当x≥2时,函数f(x)=(a-2)x也为减函数,可得a<2.同时还需满足:在x=2处,指数式的取值大于或等于一次式的取值,解之得a≤
,最后综合可得实数a的取值范围.
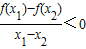
解答:解:∵对任意的实数x1≠x2都有
成立,
∴当x1<x2时,f(x1)>f(x2),可得函数f(x)是定义在R上的减函数
因此,①当x≥2时,函数f(x)=(a-2)x为一次函数且为减函数,有a<2…(*);
②当x<2时,f(x)=(
)x-1也是减函数.
同时,还需满足:2(a-2)≤(
)2-1,解之得a≤
,再结合(*)可得实数a的取值范围是:
故选B
点评:本题以分段函数为例,在已知函数的单调性的情况下求参数的取值范围,着重考查了函数的单调性的判断与证明的知识,属于中档题.
解答:解:∵对任意的实数x1≠x2都有
∴当x1<x2时,f(x1)>f(x2),可得函数f(x)是定义在R上的减函数
因此,①当x≥2时,函数f(x)=(a-2)x为一次函数且为减函数,有a<2…(*);
②当x<2时,f(x)=(
同时,还需满足:2(a-2)≤(
故选B
点评:本题以分段函数为例,在已知函数的单调性的情况下求参数的取值范围,着重考查了函数的单调性的判断与证明的知识,属于中档题.
练习册系列答案
相关题目