题目内容
已知函数f(x)=[2sin(
)+sinx]cosx-
sin2x,x∈R。
(1)求函数f(x)的最小正周期;
(2)求f(x)在
上的最大值和最小值。
(1)求函数f(x)的最小正周期;
(2)求f(x)在
解:


(1)函数f(x)的最小正周期
。
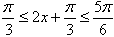
(2)∵
∴
∴
∴1≤f(x)≤2
∴f(x)max=2,f(x)min=1。
(1)函数f(x)的最小正周期
(2)∵
∴
∴
∴1≤f(x)≤2
∴f(x)max=2,f(x)min=1。
练习册系列答案
相关题目
已知函数f(x)=x2-bx的图象在点A(1,f(1))处的切线l与直线3x-y+2=0平行,若数列{
}的前n项和为Sn,则S2010的值为( )
| 1 |
| f(n) |
A、
| ||
B、
| ||
C、
| ||
D、
|