题目内容
已知数列{an}满足a1=33,an+1-an=2n,则
【答案】分析:由累加法求出an=33+n2-n,所以
,设f(n)=
,由此能导出n=5或6时f(n)有最小值.借此能得到
的最小值.
解答:解:an=(an-an-1)+(an-1-an-2)+…+(a2-a1)+a1=2[1+2+…+(n-1)]+33=33+n2-n
所以
设f(n)=
,令f′(n)=
,
则f(n)在
上是单调递增,在
上是递减的,
因为n∈N+,所以当n=5或6时f(n)有最小值.
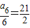
又因为
,
,
所以
的最小值为
点评:本题考查了递推数列的通项公式的求解以及构造函数利用导数判断函数单调性,考查了同学们综合运用知识解决问题的能力.
解答:解:an=(an-an-1)+(an-1-an-2)+…+(a2-a1)+a1=2[1+2+…+(n-1)]+33=33+n2-n
所以
设f(n)=
则f(n)在
因为n∈N+,所以当n=5或6时f(n)有最小值.
又因为
所以
点评:本题考查了递推数列的通项公式的求解以及构造函数利用导数判断函数单调性,考查了同学们综合运用知识解决问题的能力.
练习册系列答案
相关题目