题目内容
已知函数(1)若函数f(x)在(0,+∞)上为单调增函数,求a的取值范围;
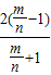
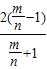
(2)设m,n∈R,且m≠n,求证
【答案】分析:(1)根据f(x)的解析式求出f(x)的导函数,通分后根据函数f(x)在(0,+∞)上为单调增函数,得到分子大于0恒成立,解出2a-2小于等于一个函数关系式,利用基本不等式求出这个函数的最小值,列出关于a的不等式,求出不等式的解集即可得到a的取值范围;
(2)把所证的式子利用对数的运算法则及不等式的基本性质变形,即要证ln
-
>0,根据(1)得到h(x)在x大于等于1时单调递增,且
大于1,利用函数的单调性可得证.
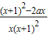
解答:解:(1)f′(x)=
-
=
=
,
因为f(x)在(0,+∞)上为单调增函数,所以f′(x)≥0在(0,+∞)上恒成立
即x2+(2-2a)x+1≥0在(0,+∞)上恒成立,
当x∈(0,+∞)时,由x2+(2-2a)x+1≥0,
得:2a-2≤x+
,
设g(x)=x+
,x∈(0,+∞),
则g(x)=x+
≥2
=2,当且仅当x=
即x=1时,g(x)有最小值2,
所以2a-2≤2,解得a≤2,所以a的取值范围是(-∞,2];
(2)要证
,只需证
<
,
即ln
>
,即ln
-
>0,
设h(x)=lnx-
,
由(1)知h(x)在(1,+∞)上是单调增函数,又
>1,
所以h(
)>h(1)=0,即ln
-
>0成立,
得到
.
点评:此题考查学生会利用导函数的正负确定函数的单调区间,掌握不等式恒成立时所满足的条件,会利用基本不等式求函数的最小值,是一道中档题.在证明第(2)时注意利用第(1)问中的结论.
(2)把所证的式子利用对数的运算法则及不等式的基本性质变形,即要证ln
解答:解:(1)f′(x)=
因为f(x)在(0,+∞)上为单调增函数,所以f′(x)≥0在(0,+∞)上恒成立
即x2+(2-2a)x+1≥0在(0,+∞)上恒成立,
当x∈(0,+∞)时,由x2+(2-2a)x+1≥0,
得:2a-2≤x+
设g(x)=x+
则g(x)=x+
所以2a-2≤2,解得a≤2,所以a的取值范围是(-∞,2];
(2)要证
即ln
设h(x)=lnx-
由(1)知h(x)在(1,+∞)上是单调增函数,又
所以h(
得到
点评:此题考查学生会利用导函数的正负确定函数的单调区间,掌握不等式恒成立时所满足的条件,会利用基本不等式求函数的最小值,是一道中档题.在证明第(2)时注意利用第(1)问中的结论.
练习册系列答案
相关题目