题目内容
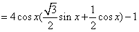
已知函数f(x)=4cosxsin(x+
)-1。
(1)求f(x)的最小正周期;
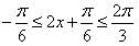
(2)求f(x)在区间
上的最大值和最小值。
(1)求f(x)的最小正周期;
(2)求f(x)在区间
解:(1)因为



所以f(x)的最小正周期为π。
(2)因为
所以
于是当
,即
时,f(x)取得最大值2;
当
,即
时,f(x)取得最小值-1。
所以f(x)的最小正周期为π。
(2)因为
所以
于是当
当
练习册系列答案
相关题目
题目内容