题目内容
已知等比数列{an}中,a1+a2+a3=7,a1a2a3=8,求an.
【答案】分析:利用等比数列的基本量a1,q,根据条件求出a1和q.最后根据等比数列的通项公式求得an.
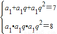
解答:解:设{an}的公比为q,由题意知
解得
或
∴an=2n-1或an=23-n.
点评:本题主要考查了等比数列的基本性质.转化成基本量解方程是解决数列问题的基本方法.
解答:解:设{an}的公比为q,由题意知
解得
∴an=2n-1或an=23-n.
点评:本题主要考查了等比数列的基本性质.转化成基本量解方程是解决数列问题的基本方法.
练习册系列答案
相关题目