题目内容
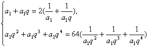
已知{an}是各项均为正数的等比数列,且a1+a2=2(
),a3+a4+a5=64(
)。
(1)求{an}的通项公式;
(2)设
,求数列{bn}的前n项和Tn。
(1)求{an}的通项公式;
(2)设
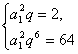
解:(1)设公比为q,则
由已知有
化简得
又a1>0,故q=2,a1=1,
所以
。
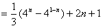
(2)由(1)知
因此

。
由已知有
化简得
又a1>0,故q=2,a1=1,
所以
(2)由(1)知
因此
练习册系列答案
相关题目
题目内容