题目内容
在△ABC中,a,b,c分别是角A,B,C的对边,且(2a+c)cosB+bcosC=0,
(1)求角B的大小;
(2)若
,a+c=4,求△ABC的面积。
(1)求角B的大小;
(2)若
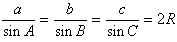
解:(1)由正弦定理
得
,
将上式代入已知
,
得
,
即
,
即
,
∵
,
∴
,
,
∴
,
∵B为三角形的内角,
∴
。
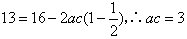
(2)将
代入余弦定理
得
,
∴
,
∴
。
将上式代入已知
得
即
即
∵
∴
∴
∵B为三角形的内角,
∴
(2)将
∴
∴
练习册系列答案
相关题目
在△ABC中,∠A、∠B、∠C所对的边长分别是a、b、c.满足2acosC+ccosA=b.则sinA+sinB的最大值是( )
A、
| ||||
| B、1 | ||||
C、
| ||||
D、
|