题目内容
已知函数f(x)=ln(ax-bx)(a>1>b>0).(1)求函数f(x)的定义域I;
(2)判断函数f(x)在定义域I上的单调性,并说明理由;
(3)当a,b满足什么关系时,f(x)在[1,+∞)上恒取正值.
【答案】分析:(1)由对数函数的真数大于零求解.
(2)当函数在定义域上单调时,则不存在,当函数在定义域上不单调时,则存在,所以要证明函数是否单调,可用定义法,也可用导数法研究.
(3)由“f(x)在(1,+∞)上恒取正值”则需函数的最小值非负即可,由(2)可知是增函数,所以只要f(1)≥0即可.
解答:解:(1)f(x)=ln(ax-bx)(a>1>b>0)要意义,ax-bx>0(2分)
(只要学生得出答案,没有过程的,倒扣一分,用指数函数单调性或者直接解出)
∴所求定义域为(0,+∞)(4分)
(2)函数在定义域上是单调递增函数(5分)
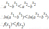
证明:?x1,x2,0<x1<x2(6分)
∵a>1>b>0∴
(7分)
(9分)
所以原函数在定义域上是单调递增函数(10分)
(3)要使f(x)在[1,+∞)上恒取正值
须f(x)在[1,+∞)上的最小值大于0-(11分)
由(2)ymax=f(1)=ln(a-b)(12分)
∵ln(a-b)>0∴a-b>1
所以f(x)在[1,+∞)上恒取正值时有a-b>1.(14分)
点评:本题主要考查函数的定义域,单调性及最值,这是常考常新的类型,在转化问题和灵活运用知识,方法要求较高.
(2)当函数在定义域上单调时,则不存在,当函数在定义域上不单调时,则存在,所以要证明函数是否单调,可用定义法,也可用导数法研究.
(3)由“f(x)在(1,+∞)上恒取正值”则需函数的最小值非负即可,由(2)可知是增函数,所以只要f(1)≥0即可.
解答:解:(1)f(x)=ln(ax-bx)(a>1>b>0)要意义,ax-bx>0(2分)
(只要学生得出答案,没有过程的,倒扣一分,用指数函数单调性或者直接解出)
∴所求定义域为(0,+∞)(4分)
(2)函数在定义域上是单调递增函数(5分)
证明:?x1,x2,0<x1<x2(6分)
∵a>1>b>0∴
所以原函数在定义域上是单调递增函数(10分)
(3)要使f(x)在[1,+∞)上恒取正值
须f(x)在[1,+∞)上的最小值大于0-(11分)
由(2)ymax=f(1)=ln(a-b)(12分)
∵ln(a-b)>0∴a-b>1
所以f(x)在[1,+∞)上恒取正值时有a-b>1.(14分)
点评:本题主要考查函数的定义域,单调性及最值,这是常考常新的类型,在转化问题和灵活运用知识,方法要求较高.
练习册系列答案
相关题目