题目内容

如图,几何体中,四边形为菱形,,面∥面,都垂直于面,且的中点,的中点.

(1)求几何体的体积;

(2)求证:为等腰直角三角形;

(3)求二面角的大小.

 

【答案】

(1)几何体的体积为;(2)详见试题解析;(3)二面角的大小为

【解析】

试题分析:(1)将几何体补成如图的直四棱柱,利用计算几何体的体积;(2)详见试题解析;(3)取的中点,因为分别为的中点,所以,以分别为轴建立坐标系,利用法向量求二面角的大小.

试题解析:(1)将几何体补成如图的直四棱柱,则        3分

(2)连接,交,因为四边形为菱形,,所以.因为都垂直于面,,又面∥面,所以四边形为平行四边形,则,因为都垂直于面,则所以,所以为等腰直角三角形.           7分

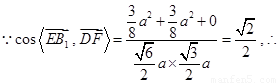
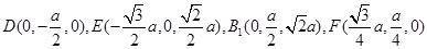
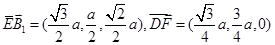
(3)取的中点,因为分别为的中点,所以,以分别为轴建立坐标系,则,所以平面为的中点,平面.由知二面角的大小为二面角的大小为

                                            12分

考点:1.几何体的体积;2.二面角.

 

练习册系列答案
相关题目

违法和不良信息举报电话:027-86699610 举报邮箱:58377363@163.com

精英家教网