题目内容
在△ABC中,a,b,c分别是∠A,∠B,∠C的对边,且
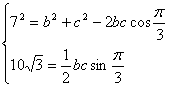
。
(1)求∠A;
(2)若a=7,△ABC的面积为
,求b+c的值。
(1)求∠A;
(2)若a=7,△ABC的面积为
解:(1)由
得:
,
化简,得
,解得:
,
∴
。
(2)由题意,得
,
∴
即b+c=13。
化简,得
∴
(2)由题意,得
∴
即b+c=13。
练习册系列答案
相关题目
在△ABC中,∠A、∠B、∠C所对的边长分别是a、b、c.满足2acosC+ccosA=b.则sinA+sinB的最大值是( )
A、
| ||||
| B、1 | ||||
C、
| ||||
D、
|