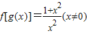
题目内容
已知g(x)=1-2x,A.1
B.3
C.15
D.17
【答案】分析:令g(x)=1-2x=
求出对应的x的值,再代入
进行求解.
解答:解:令g(x)=1-2x=
得,x=
,
∵
∴
=
=17,
故选D.
点评:本题考查了复合函数求值,需分清函数的自变量和对应的x的值之间的关系.易错点:把x当成
代入求解.
解答:解:令g(x)=1-2x=
∵
∴
故选D.
点评:本题考查了复合函数求值,需分清函数的自变量和对应的x的值之间的关系.易错点:把x当成
练习册系列答案
相关题目