题目内容
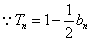
已知数列{an}是等差数列,a2=6,a5=18;数列{bn}的前n项和是Tn,且
。
(1)求数列{an}的通项公式;
(2)求证:数列{bn}是等比数列;
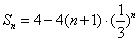
(3)记cn=an·bn,求{cn}的前n项和Sn。
(1)求数列{an}的通项公式;
(2)求证:数列{bn}是等比数列;
(3)记cn=an·bn,求{cn}的前n项和Sn。
解:(1)设
的公差为d,则
,
,
∵
,
∴
,∴
,
∴
。
(2)当n=1时,
,
由
得
;
当
时,
,
,
∴
,即
,
∴
,
。
(3)由(2)可知,
,
∴
,
∴
,
∴
,
从而


,
∴
。
∵
∴
∴
(2)当n=1时,
由
当
∴
∴
(3)由(2)可知,
∴
∴
∴
从而
∴
练习册系列答案
相关题目