题目内容
已知a,b,c均为正数,证明:
【答案】分析:证法一:两次利用基本不等式放小,此处不用考虑等号成立的条件,因等号不成立不影响不等号的传递性.
证法二:先用基本不等式推出a2+b2+c2≥ab+bc+ac与
两者之和用基本不等式放小,整体上只用了一次放缩法.其本质与证法一同.
解答:证明:
(证法一)
因为a,b,c均为正数,由平均值不等式得
①
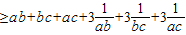
所以
②(6分)
故
.
又
③
所以原不等式成立.(8分)
当且仅当a=b=c时,①式和②式等号成立.当且仅当
时,③式等号成立.
即当且仅当a=b=c=
时,原式等号成立.(10分)
(证法二)
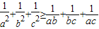
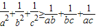
因为a,b,c均为正数,由基本不等式得
所以a2+b2+c2≥ab+bc+ac①
同理
②(6分)
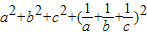
故
③

所以原不等式成立.(8分)
当且仅当a=b=c时,①式和②式等号成立,当且仅当a=b=c,(ab)2=(bc)2=(ac)2=3时,③式等号成立.
即当且仅当a=b=c=
时,原式等号成立.(10分)
点评:考查放缩法在证明不等式中的应用,本题在在用缩法时多次用到基本不等式,请读者体会本题证明过程中不考虑等号是否成立的原理,并与利用基本不等式求最值再据最值成立的条件求参数题型比较.深入分析等号成立的条件什么时候必须考虑,什么时候可以不考虑.
证法二:先用基本不等式推出a2+b2+c2≥ab+bc+ac与
解答:证明:
(证法一)
因为a,b,c均为正数,由平均值不等式得
所以
故
又
所以原不等式成立.(8分)
当且仅当a=b=c时,①式和②式等号成立.当且仅当
即当且仅当a=b=c=
(证法二)
因为a,b,c均为正数,由基本不等式得
所以a2+b2+c2≥ab+bc+ac①
同理
故
当且仅当a=b=c时,①式和②式等号成立,当且仅当a=b=c,(ab)2=(bc)2=(ac)2=3时,③式等号成立.
即当且仅当a=b=c=
点评:考查放缩法在证明不等式中的应用,本题在在用缩法时多次用到基本不等式,请读者体会本题证明过程中不考虑等号是否成立的原理,并与利用基本不等式求最值再据最值成立的条件求参数题型比较.深入分析等号成立的条件什么时候必须考虑,什么时候可以不考虑.
练习册系列答案
相关题目