题目内容
已知函数(1)求函数的单调区间;
(2)求函数的极值.
【答案】分析:先求导数fˊ(x),求出fˊ(x)=0的值,再讨论满足fˊ(x)=0的点附近的导数的符号的变化情况,从而的函数f(x)的单调区间以及函数的极值,fˊ(x)>0的区间是增区间,fˊ(x)<0的区间是减区间.
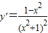
解答:解:
令f′(x)=0,得x=±1
(1)当f′(x)>0时,-1<x<1;
当f′(x)<0时,x<-1或x>1;
则函数f(x)的减区间(-∞,-1),(1,+∞);增区间(-1,1)
(2)由(1)知,函数的极大值为f(1)=
,极小值为f(-1)=
点评:本题主要考查了函数的极值,以及利用导数研究函数的单调性等基础知识,考查综合利用数学知识分析问题、解决问题的能力.
解答:解:
令f′(x)=0,得x=±1
(1)当f′(x)>0时,-1<x<1;
当f′(x)<0时,x<-1或x>1;
则函数f(x)的减区间(-∞,-1),(1,+∞);增区间(-1,1)
(2)由(1)知,函数的极大值为f(1)=
点评:本题主要考查了函数的极值,以及利用导数研究函数的单调性等基础知识,考查综合利用数学知识分析问题、解决问题的能力.
练习册系列答案
相关题目