题目内容
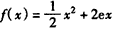
已知定义在正实数集上的函数f(x)=
x2+2ex,g(x)=3e2lnx+b(其中e为常数,e=2.718 28…),若这两个函数的图象有公共点,且在该点处的切线相同,
(Ⅰ)求实数b的值;
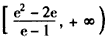
(Ⅱ)当x∈[
,e]时,
恒成立,求实数a的取值范围。
(Ⅰ)求实数b的值;
(Ⅱ)当x∈[
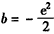
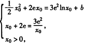
解:(Ⅰ)
,
设函数
与
的图象有公共点为
,
由题意,得
,
解得:
。
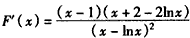
(Ⅱ)由(Ⅰ)知,
,
所以,
,
即
,①
当
时,lnx<0,∴x-lnx>0,
当
时,lnx≤1≤x,且等号不能同时成立,
∴x-lnx>0,
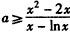
所以,则由①式可得
在[
,e]上恒成立,
设
,
又
,
令
,得x=1,
又lnx≤1,
∴
,
所以,当
时,
;
当
时,
,
所以,函数F(x)在
上为减函数,在
上为增函数,
又
,
故
,
所以,实数a的取值范围是
。
设函数
由题意,得
解得:
(Ⅱ)由(Ⅰ)知,
所以,
即
当
当
∴x-lnx>0,
所以,则由①式可得
设
又
令
又lnx≤1,
∴
所以,当
当
所以,函数F(x)在
又
故
所以,实数a的取值范围是
练习册系列答案
相关题目