题目内容
计算:
________.
【答案】
0
【解析】
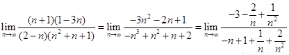
试题分析:本题是“
”型极限问题,处理它的方法是转化,分子分母同时除以
的幂,化为可求极限型,
![]()
.
考点:“
”型极限问题.
练习册系列答案
相关题目
题目内容
计算:
________.
0
【解析】
试题分析:本题是“
”型极限问题,处理它的方法是转化,分子分母同时除以
的幂,化为可求极限型,
![]()
.
考点:“
”型极限问题.