题目内容

平面上画很多平行线,间距为a.向此平面投掷长为l(l<a)的针,求此针与任一平行线相交的概率.

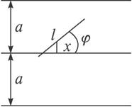
解:以针的任一位置为样本点,它可以由两个数决定:针的中点与最接近的平行线之间的距离x,针与平行线的交角φ(见下图左).样本空间为Ω:{(φ,x),0≤φ≤π,0≤x≤a/2},为一矩形.针与平行线相交的充要条件是g:x≤sinφ(见下图右).所求概率是P=

.

               

注:因为概率P可以用多次重复试验的频率来近似,由此可以得到π的近似值.方法是重复投针N次,(或一次投针若干枚,总计N枚),统计与平行线相交的次数n,则P≈n/N.又因a与l都可精确测量,故从2l/aπ≈n/N,可解得π≈2lN/an.历史上有不少人做过这个试验.做得最好的一位投掷了3 408次,算得π≈3.141 592 9,其精确度已经达到小数点后第六位.

设计一个随机试验,通过大量重复试验得到某种结果,以确定我们感兴趣的某个量,由此而发展的蒙特卡洛(Monte-Carlo)方法为这种计算提供了一种途径.

课堂小结

    几何概型是区别于古典概型的又一概率模型,使用几何概型的概率计算公式时,一定要注意其适用条件:每个事件发生的概率只与构成该事件区域的长度成比例.

练习册系列答案
相关题目

违法和不良信息举报电话:027-86699610 举报邮箱:58377363@163.com

精英家教网