题目内容
已知f(x)=x3-6x2+9x-abc,a<b<c,且f(a)=f(b)=f(c)=0.现给出如下结论:①f(0)f(1)>0;
②f(0)f(1)<0;
③f(0)f(3)>0;
④f(0)f(3)<0.
其中正确结论的序号是 .
【答案】分析:f(x)=x3-6x2+9x-abc,a<b<c,且f(a)=f(b)=f(c)=0,确定函数的极值点1,3及a、b、c的大小关系,由此可得结论
解答:解:求导函数可得f′(x)=3x2-12x+9=3(x-1)(x-3)
∵a<b<c,且f(a)=f(b)=f(c)=0.
∴a<1<b<3<c
设f(x)=(x-a)(x-b)(x-c)=x3-(a+b+c)x2+(ab+ac+bc)x-abc
∵f(x)=x3-6x2+9x-abc
∴a+b+c=6,ab+ac+bc=9
∴b+c=6-a
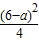
∴bc=9-a(6-a)<
∴a2-4a<0
∴0<a<4
∴0<a<1<b<3<c
∴f(0)<0,f(1)>0,f(3)<0
∴f(0)f(1)<0,f(0)f(3)>0
故答案为:②③
点评:本题考查函数的零点、极值点,考查解不等式,综合性强,确定a、b、c的大小关系是关键.
解答:解:求导函数可得f′(x)=3x2-12x+9=3(x-1)(x-3)
∵a<b<c,且f(a)=f(b)=f(c)=0.
∴a<1<b<3<c
设f(x)=(x-a)(x-b)(x-c)=x3-(a+b+c)x2+(ab+ac+bc)x-abc
∵f(x)=x3-6x2+9x-abc
∴a+b+c=6,ab+ac+bc=9
∴b+c=6-a
∴bc=9-a(6-a)<
∴a2-4a<0
∴0<a<4
∴0<a<1<b<3<c
∴f(0)<0,f(1)>0,f(3)<0
∴f(0)f(1)<0,f(0)f(3)>0
故答案为:②③
点评:本题考查函数的零点、极值点,考查解不等式,综合性强,确定a、b、c的大小关系是关键.
练习册系列答案
相关题目