题目内容
已知F1、F2分别为椭圆的左、右焦点,椭圆上点M的横坐标等于右焦点的横坐标,其纵坐标等于短半轴长的
【答案】分析:设出椭圆的标准方程,求出椭圆上点M的横坐标等于右焦点的横坐标时M的纵坐标,利用纵坐标等于短半轴长的
,建立方程,即可求得椭圆的离心率.
解答:解:设椭圆的标准方程为
(a>b>0)
当x=c时,y=±
∵椭圆上点M的横坐标等于右焦点的横坐标,其纵坐标等于短半轴长的
,
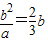
∴
∴
∴
=
a
∴e=
=
故答案为:
.
点评:本题考查椭圆的几何性质,考查学生的计算能力,属于基础题.
解答:解:设椭圆的标准方程为
当x=c时,y=±
∵椭圆上点M的横坐标等于右焦点的横坐标,其纵坐标等于短半轴长的
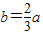
∴
∴
∴
∴e=
故答案为:
点评:本题考查椭圆的几何性质,考查学生的计算能力,属于基础题.
练习册系列答案
相关题目