题目内容
在等差数列{an}中,a1=1,前n项和Sn满足条件(Ⅰ)求数列{an}的通项公式;
(Ⅱ)记bn=anpan(p>0),求数列{bn}的前n项和Tn.
【答案】分析:(1)将n=1代入已知递推式,易得a2,从而求出d,故an可求;
(2)求出bn,分p=1和p≠1两种情况讨论,然后利用错位相减法求和.
解答:解:(Ⅰ)设等差数列{an}的公差为d,由
得:
=3,所以a2=2,即d=a2-a1=1,
所以an=n.
(Ⅱ)由bn=anpan,得bn=npn.所以Tn=p+2p2+3p3+…+(n-1)pn-1+npn,①
当p=1时,Tn=
;
当p≠1时,
pTn=p2+2p3+3p4+…+(n-1)pn+npn+1,②
①-②得(1-p)Tn=p+p2+p3+…+pn-1+pn-npn+1=
,
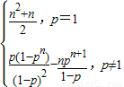
即Tn=
.
点评:本题主要考查对数列递推关系的观察能力和利用错位相减法求和的能力,难度中等,注意分类讨论思想的应用.
(2)求出bn,分p=1和p≠1两种情况讨论,然后利用错位相减法求和.
解答:解:(Ⅰ)设等差数列{an}的公差为d,由
所以an=n.
(Ⅱ)由bn=anpan,得bn=npn.所以Tn=p+2p2+3p3+…+(n-1)pn-1+npn,①
当p=1时,Tn=
当p≠1时,
pTn=p2+2p3+3p4+…+(n-1)pn+npn+1,②
①-②得(1-p)Tn=p+p2+p3+…+pn-1+pn-npn+1=
即Tn=
点评:本题主要考查对数列递推关系的观察能力和利用错位相减法求和的能力,难度中等,注意分类讨论思想的应用.
练习册系列答案
相关题目