题目内容
已知抛物线y2=4x,过点M(0,2)的直线l与抛物线交于A、B两点,且直线l与x交于点C.(1)求证:|MA|,|MC|、|MB|成等比数列;
(2)设
【答案】分析:(1)设直线l的方程为:y=kx+2,将直线的方程代入抛物线的方程,消去y得到关于x的一元二次方程,再结合根系数的关系利用弦长公式即可求得|MA|,|MC|、|MB|成等比数列,从而解决问题.
(2)由
,
得,
,
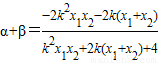
,从而利用x1,x2,及k来表示α,β,最后结合(1)中根系数的关系即得故α+β为定值.
解答:解:(1)设直线l的方程为:y=kx+2(k≠0),
联立方程可得
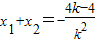
得:k2x2+(4k-4)x+4=0①
设A(x1,y1),B(x2,y2),
,
则
,
②
,
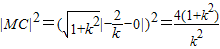
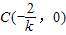
而
,
∴|MC|2=|MA|•|MB|≠0,
即|MA|,|MC|、|MB|成等比数列(7分)
(2)由
,
得,
,
即得:
,
,
则
由(1)中②代入得α+β=-1,
故α+β为定值且定值为-1(13分)
点评:本小题主要考查等比关系的确定、向量坐标的应用、直线与圆锥曲线的综合问题等基础知识,考查运算求解能力,考查数形结合思想、化归与转化思想.属于基础题.
(2)由
解答:解:(1)设直线l的方程为:y=kx+2(k≠0),
联立方程可得
设A(x1,y1),B(x2,y2),
则
而
∴|MC|2=|MA|•|MB|≠0,
即|MA|,|MC|、|MB|成等比数列(7分)
(2)由
即得:
则
由(1)中②代入得α+β=-1,
故α+β为定值且定值为-1(13分)
点评:本小题主要考查等比关系的确定、向量坐标的应用、直线与圆锥曲线的综合问题等基础知识,考查运算求解能力,考查数形结合思想、化归与转化思想.属于基础题.
练习册系列答案
相关题目