题目内容
已知函数(1)当a=1时,求函数f(x)的最大值;
(2)如果对于区间
【答案】分析:(1)结合函数解析式的结构特征对函数进行配方可得
,进而得到函数的最大值.
(2)根据函数解析式的特征对函数进行配方可得
,结合函数的定义域进行换元可得二次函数,即可利用二次函数的性质求出函数的最值,进而解决恒成立问题.
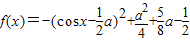
解答:解:(1)由题意可得:
.
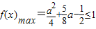
所以当
时,函数f(x)的最大值是
.
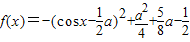
(2)
.
当
时,0≤cosx≤1,令t=cosx,则0≤t≤1.
,0≤t≤1.
当
,即0≤a≤2时,则当
,即
时,
,
解得
,
则
;
当
,即a<0时,则当t=0即cosx=0时,
,
解得
,
则a<0.
当
,即a>2时,则当t=1即cosx=1时,
,
解得
,无解.
综上可知,a的取值范围
.
点评:解决此类问题的关键是熟练掌握二次函数的有关性质,二次函数的对称轴与区间的位置关系可以确定函数的最值.
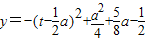
(2)根据函数解析式的特征对函数进行配方可得
解答:解:(1)由题意可得:
所以当
(2)
当
当
解得
则
当
解得
则a<0.
当
解得
综上可知,a的取值范围
点评:解决此类问题的关键是熟练掌握二次函数的有关性质,二次函数的对称轴与区间的位置关系可以确定函数的最值.
练习册系列答案
相关题目