题目内容
集合A={0,2,a},B={1,a2},若A∪B={0,1,2,4,16},则a的值为( )A.0
B.1
C.2
D.4
【答案】分析:根据题意,由并集的计算方法,结合a与a2的关系,易得
,即可得答案.
解答:解:∵A={0,2,a},B={1,a2},A∪B={0,1,2,4,16}
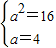
∴
∴a=4,
故选D.
点评:本题考查了集合的并集运算,并用观察法得到相对应的元素,从而求得答案,本题属于容易题.
解答:解:∵A={0,2,a},B={1,a2},A∪B={0,1,2,4,16}
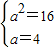
∴
∴a=4,
故选D.
点评:本题考查了集合的并集运算,并用观察法得到相对应的元素,从而求得答案,本题属于容易题.
练习册系列答案
相关题目
集合A={0,2,a},B={1,a2},若A∪B={0,1,2,4,16},则a的值为( )
| A、0 | B、1 | C、2 | D、4 |